Antenna array response
In case of wireless communication signal reaches receiver thru multipath. Multipath signals are correlated if antenna elements are closely packed in a compact region.

Figure 1: Illustration of multipath communication in wireless environment
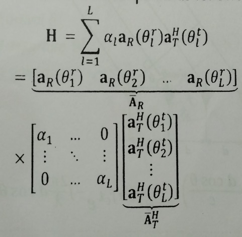
For a path l (say) is described along following parameters
Angle of arrival θrl ;
Angle of departure θtl ;
Complex channel gain αl ;

Figure 2: Directional cosine vectors at receiver side for transmission from Tx

Figure 3: Antenna array response at different antenna array and simplified channel model
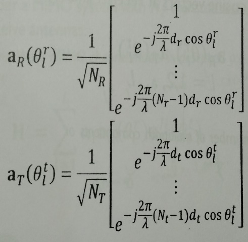
Let assume, in the above figure 2, BS is transmitting at receiver side and receiver antenna array contain four ULA antenna elements. Then we can observe in the figure that to reach 2nd element (from left) the signal has to travel more distance with compare to 1st element. The extra path distance will be dcosθ or λ/2*cosθ as the antenna elements are spaced in half wave length interval. That’s why there will be time difference for signal to reach in 2nd element is dcosθ/c or λ/2*cosθ/c; where, c = speed of EM wave and phases will be changed accordingly as shown in above figure.
In the above figure the extra phase difference will be exp(j*2*pi*fc*d*cosθ/c) which is equal to exp(j*2*pi* dcosθ/ λ) or simply, exp(j*pi* cosθ) as d=λ/2.
So, the antenna array response for ULA will be
……………..(i)
Similarly, for URA (W1 & W2 elements on the x and y axes) antenna response will be

……………....(ii)
(El Ayach, 2014)
Here the extra term sinφ and ycosθ come for rectangular geometry of the antenna array