Cholesky Decomposition
Procedures
Choose an n X n matrix
The chosen matrix should be symmetric
Let’s assume, A = $\begin{bmatrix} a1 & a2 & a3 \\ a2 & a4 & a5 \\ a3 & a5 & a6 \end{bmatrix}$
a matrix A is symmetric if
A is a square matrix
and A = AT
Otherwise-Pop up error – entered matrix should be symmetric
The chosen matrix should be positive definite as well.
a matrix A is positive definite if determinants of all upper-left sub-matrices are positive or,
$\left| \begin{matrix} a1 \end{matrix} \right|$ > 0
$\left| \begin{matrix} a1 & a2 \\ a2 & a4 \end{matrix} \right|$ > 0
$\left| \begin{matrix} a1 & a2 & a3 \\ a2 & a4 & a5 \\ a3 & a5 & a6 \end{matrix} \right|\ $> 0
Otherwise-Pop up error – entered matrix should be positive definite
Every symmetric positive definite matrix A can be decomposed into a product of a unique lower triangular matrix L and its transpose.
A = L*LT
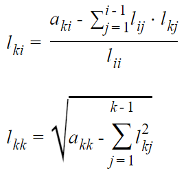
There is a clear-cut formula to find the elements of matrix L

Where, for example, lki denotes the matrix L’s entry/element in kth row and ith column.
lkk denotes the main diagonal elements of matrix L
Example:
Given matrix, A = $\begin{bmatrix} 4 & 2 & 14 \\ 2 & 17 & - 5 \\ 14 & - 5 & 83 \end{bmatrix}$
The matrix A is symmetric as A = AT
Now, we’ll check given matrix A is positive definite or not.
$\left| \begin{matrix} 4 \end{matrix} \right|$ > 0
$\left| \begin{matrix} 4 & 2 \\ 2 & 17 \end{matrix} \right|$ = 68 – 4 = 64 > 0
$\left| \begin{matrix} 4 & 2 & 14 \\ 2 & 17 & - 5 \\ 14 & - 5 & 83 \end{matrix} \right|$ = 1600 > 0
So, the matrix is positive definite as well.
Any symmetric positive definite matrix A can be decomposed into a product of a unique lower triangular matrix L and its transpose or,
A = L*LT
Formula

l11 = √4 = 2
l21 = a21 / l11 = 2/2 =1
l22 = √( a22 – (l21)2) = √(17 – 1) = 4
l31 = a31 / l11 = 14/2 = 7
l32 = (a32 – l31 * l21) / l22 = (-5 – (7)*(1)) / 4 = -3
l33 = √( a33 – (l31)2 - (l32)2) = √(83 – (7)2 - (-3)2) = 5
Now, from the solutions of the aforementioned equations we obtain the matrix L.
L = $\begin{bmatrix} l11 & 0 & 0 \\ l21 & l22 & 0 \\ l31 & l32 & l33 \end{bmatrix}$ = $\begin{bmatrix} 2 & 0 & 0 \\ 1 & 4 & 0 \\ 7 & - 3 & 5 \end{bmatrix}$
And L*LT = $\begin{bmatrix} 2 & 0 & 0 \\ 1 & 4 & 0 \\ 7 & - 3 & 5 \end{bmatrix}*\ \begin{bmatrix} 2 & 1 & 7 \\ 0 & 4 & - 3 \\ 0 & 0 & 5 \end{bmatrix}$ = $\begin{bmatrix} 4 & 2 & 14 \\ 2 & 17 & - 5 \\ 14 & - 5 & 83 \end{bmatrix}$ = A
Some more discussion about Cholesky decomposition (Extra)
a square matrix A can be factorized as
A = L*U
Where L is a lower triangular matrix and U is an upper triangular matrix. We’ve already discussed in detail about ‘LU decomposition’
For a symmetric and positive definite matrix
U = LT
So, in this case, A = L*U = L * LT
For a system of linear equations
Ax = b
Or, L* LT * x = b
Let, LT * x = y
Then, L * y = b
Now, one need to find the value of L by calculating
L * LT = A
Or, $\begin{bmatrix} l11 & 0 & 0 \\ l21 & l22 & 0 \\ l31 & l32 & l33 \end{bmatrix}*\begin{bmatrix} l11 & l21 & l31 \\ 0 & l22 & l23 \\ 0 & 0 & l33 \end{bmatrix}$ = $\begin{bmatrix} 4 & 2 & 14 \\ 2 & 17 & - 5 \\ 14 & - 5 & 83 \end{bmatrix}$
See above to find the solution of matrix L. This is already discussed as a formula.
Once, one has solved y from L*y = b
Then solve x from ‘LT * x = y’
In the above, we’ve discussed the whole procedure of finding matrix L from a given matrix.